Investigation of Water Transport Characteristics in Converging and Diverging Channels
-
摘要: 输水能力变化直接影响河段行洪安全,当输水能力不足时,洪水风险陡增。影响河道输水能力的因素众多,如:床沙粒径引起河床粗糙度变化,植被等障碍物产生拖曳阻力等,但目前对边界变化影响河段输水能力机理和规律研究较少。受到地形地貌影响,山区河段河宽变化较为常见,本文采用平面2维水流数值模拟试验,研究了窄段–宽段河宽比(窄宽比)和下游水位变化条件下山区宽窄相间河段水流运动变化规律。结果表明:宽窄相间河段整体表现为宽段壅水、窄段跌水;当缩窄段弗劳德数Fr>1,河段由急流转变为缓流,在窄段下游附近形成淹没式水跃。下游出口为低水位时,随窄宽比减小,跌水–壅水–水跃分区效应越显著,展宽段水头损失急剧增大,由此降低了宽窄相间河段的输水能力;随出口水位增加,跌水–壅水效应减弱、水跃消失,展宽段水头损失变小,河宽变化影响降低,显著提高宽窄相间河段输水效应。出口水位变化对展宽与缩窄水头损失比峰值随着河道窄宽比的降低而增大,最大值为6;窄宽比变化条件下,出口水位变化对展宽与缩窄水头损失比的影响较大,表现为先增加后减小,且水头损失比峰值相对应的水位随着窄宽比增大而降低。研究从机制上厘清了宽窄相间河段水位及流速沿程分布和水头损失特征,可为山区河流水沙灾害防治提供科学依据。Abstract: The change in water transport capacity directly affects flooding risks. Apart from the effects of sediment-induced roughness and obstacle-induced drag on water capacity, the behavior of flow characteristics in diverging-converging channels under the influence of different narrow-width ratios and downstream waterlevels was particularly investigated and analyzed with numerical experiments. We find that the diverging-converging channels are characterized by the hydraulic rise in the wide section and hydraulic fall in the narrow section. When the Froude number in the diverging section exceeds 1, a submerged water jump can form due to the supercritical flow longitudinally shifting to the subcritical flow. Under low water level at the outlet, with the decrease of narrow-to-wide-section ratio, the effect of the hydraulic fall-rise-jump is more significant and the head loss in the diverging section increases greatly, reducing the water and sediment transport capacity of the wide and narrow channel. With the rise of outlet water level, the hydraulic–rise effect weakens, the hydraulic jump disappears, and the head loss in the diverging section decreases greatly, leading to the decrease of the river width variation effect and the improvement of the water convergence efficiency. The peak head loss ratio of diverging-to-converging increased with the decrease of channel narrow-width ratio with its maximum up to 6. In the case of the narrow-width ratio, the change in outlet water level has a great influence on the broadening/narrowing head loss ratio, which increases first and then decreases, and the water level with the peak loss ratio decreases with the increase of the narrow-width ratio. The results clearly demonstrated the distribution of water level and velocity along the converging-diverging channel and the associated characteristics of head loss, providing supportive knowledge for the prevention and mitigation of sediment-related water disasters in mountainous rivers.
-
山区河流宽窄相间河段分布广泛,相较于顺直河道,河宽变化引起水流运动重新调整[1-2]。宽窄相间河段水流特性复杂,正确理解宽窄相间河道水流特性与输水能力,是促进山区河道水沙灾害防治的一项重要内容[3-5]。国内外众多学者对河宽变化下的水沙运动特性进行了研究,例如:闫旭峰等[2]通过宽窄相间水槽水流运动试验,发现水位沿程分布呈现出明显的展宽段壅水、窄段跌水特征,由窄到宽的展宽段易发生水跃现象。Valiani和Caleffi[6]采用线性角动量守恒理论,得到了线性渐变水槽水跃空间结构的解析解。Gandhi[7]基于突扩型水槽水流运动试验,分析了不同窄宽比的水跃尺度特征。王淑英[8]、Wang[9]、王文娥[10]等以水槽试验为基础,研究了宽窄相间河道横向流速、紊动特性及断面环流分布。高永胜等[11]采用数值模拟方法,分析了河宽变化下的行洪过程及其河床演变特征。闫旭峰等[12]基于2维浅水方程模拟研究了宽窄相间河道因推移质输沙诱发床面调整的水面线时空变化特征,指出宽段和窄段存在不同的洪水过程模式。Wu [13]、Duró[14]、Nelson[15]等探究了宽窄相间河段局部河床演变特征。
对于宽窄相间河道,窄段–宽段河宽比(窄宽比)是控制河段平面形态的主要参数。窄宽比越小,两个断面的过水面积相差越大,基于流量恒定条件,窄–宽段的流速差也就越大。水头损失是影响河道输水能力的主控因素,水头损失越高,河道输水能力就越低[16]。对于顺直河道,水头损失来源于边界阻力;对于非顺直河道,水头损失不仅受边界阻力影响,河道平面边界形态的作用也非常大[17-19]。因此,研究宽窄相间河道水头损失特性不仅有利于提高1维浅水方程的模拟精度[20],而且有助于理解该类型河道的输水输沙特性和机制。
天然河流自然条件下,下游水位和宽–窄段河宽变化引起的河流形态变化是影响宽窄相间河段输水特性的重要因素。本文基于平面2维水流数值模拟方法,探讨下游水位与河宽变化如何影响宽窄相间河道水流特性,从而揭示宽窄相间河道输水能力、空间形态非均匀阻力特征及洪水过程机制,为宽窄相间型河段的水沙灾害防治提供科学依据。
1. 平面2维水流数学模型及其验证
采用2维浅水力学模型对宽窄相间河道水流运动进行计算,2维浅水方程可表示为:
连续方程:
$$ \frac{{\partial h}}{{\partial t}} + \frac{{\partial \left( {hU} \right)}}{{\partial x}} + \frac{{\partial \left( {hV} \right)}}{{\partial y}} = 0\quad $$ (1) 动量方程:
$$ \frac{{\partial \left( {hU} \right)}}{{\partial t}} + \frac{{\partial \left( {h{U^2}} \right)}}{{\partial x}} + \frac{{\partial \left( {hUV} \right)}}{{\partial y}} = - gh\frac{{\partial {Z_{\rm{s}}}}}{{\partial {{x}}}} + {T_{{x}}} - \frac{{{\tau _{{\rm{b}}x}}}}{\rho } $$ (2) $$ \frac{{\partial \left( {hV} \right)}}{{\partial t}} + \frac{{\partial \left( {hUV} \right)}}{{\partial x}} + \frac{{\partial \left( {h{V^2}} \right)}}{{\partial y}} = - gh\frac{{\partial {Z_{\rm{s}}}}}{{\partial y}} + {T_y} - \frac{{{\tau _{{\rm{b}}y}}}}{\rho } $$ (3) 其中,
$$ {\;\;\;\begin{aligned}[b] & {T_x} = \frac{\partial }{{\partial x}}\left( {{\nu _{\rm{t}}}h\frac{{\partial U}}{{\partial x}}} \right) + \frac{\partial }{{\partial y}}\left( {{\nu _{\rm{t}}}h\frac{{\partial U}}{{\partial y}}} \right),\\&{T_{{y}}} = \frac{\partial }{{\partial x}}\left( {{\nu _{\rm{t}}}h\frac{{\partial V}}{{\partial x}}} \right) + \frac{\partial }{{\partial y}}\left( {{\nu _{\rm{t}}}h\frac{{\partial V}}{{\partial y}}} \right) \end{aligned}}$$ (4) $${\;\;\; {\tau _{{\rm{b}}x}} = \rho {C_{\rm{f}}}U\sqrt {{U^2} + {V^2}} ,{\tau _{{\rm{b}}y}} = \rho {C_{\rm{f}}}V\sqrt {{U^2} + {V^2}} }$$ (5) 式(1)~(5)中:
$ h $ 为水深;$ t $ 为时间;$ \;\rho$ 为水的密度;$ U $ 、$ V $ 为水深平均流速;$ g $ 为重力加速度;${Z_{\rm{s}}}$ 为水面高程;${\tau _{{\rm{b}}x}}$ 、${\tau _{{\rm{b}}y}}$ 为床面切应力;${C_{\rm{f}}}$ 为床面阻力系数,由曼宁阻力系数n(与床面材料粗糙程度有关,采用n=0.02)和水深表示,即${C_{\rm{f}}} = g{n^2}/{h^{1/3}}$ ;${\nu _{\rm{t}}}$ 为涡流系数,采用k–ε 模型进行计算:$$ {\nu _{\rm{t}}} = {C_\mu }\frac{{{k^2}}}{\varepsilon } $$ (6) 式中,
$ {C_\mu } = 0.09 $ ,$ k $ 和$ \varepsilon $ 通过水深平均紊动能运输方程及其耗散方程进行描述:$$ \begin{aligned}[b]& \frac{{\partial hk}}{{\partial t}} + U\frac{{\partial hk}}{{\partial x}} + V\frac{{\partial hk}}{{\partial y}} = \frac{\partial }{{\partial x}}\left( {\frac{{{\nu _{\rm{t}}}}}{{{\sigma _k}}}h\frac{{\partial k}}{{\partial x}}} \right) +\\&\qquad \frac{\partial }{{\partial y}}\left( {\frac{{{\nu _{\rm{t}}}}}{{{\sigma _k}}}h\frac{{\partial k}}{{\partial y}}} \right) + \left( {{P_h} + {P_{kv}} - \varepsilon } \right)h \end{aligned}$$ (7) $$\begin{aligned}[b]& \frac{{\partial h\varepsilon }}{{\partial t}} + U\frac{{\partial h\varepsilon }}{{\partial x}} + V\frac{{\partial h\varepsilon }}{{\partial y}} = \frac{\partial }{{\partial x}}\left( {\frac{{{\nu _{\rm{t}}}}}{{{\sigma _k}}}h\frac{{\partial \varepsilon }}{{\partial x}}} \right) + \frac{\partial }{{\partial y}}\left( {\frac{{{\nu _{\rm{t}}}}}{{{\sigma _k}}}h\frac{{\partial \varepsilon }}{{\partial y}}} \right) +\\&\qquad \left( {{C_{1\varepsilon }}\frac{\varepsilon }{k}{P_h} + {P_{\varepsilon v}} - {C_{2\varepsilon }}\frac{{{\varepsilon ^2}}}{k}} \right)h \\[-15pt]\end{aligned}$$ (8) 其中,
$$ {P_h} = {\nu _{\rm{t}}}\left[ {2{{\left( {\frac{{\partial U}}{{\partial x}}} \right)}^2} + 2{{\left( {\frac{{\partial V}}{{\partial y}}} \right)}^2} + {{\left( {\frac{{\partial U}}{{\partial y}}} \right)}^2} + {{\left( {\frac{{\partial V}}{{\partial x}}} \right)}^2} + 2\frac{{\partial U}}{{\partial y}}\frac{{\partial V}}{{\partial x}}} \right] $$ (9) $$ {P_{kv}} = C_{\rm{f}}^{ - 1/2}\frac{{U_*^3}}{h} \;\;\;\qquad$$ (10) $$ {P_{\varepsilon v}} = {C_{\varepsilon \beta }}{C_\varepsilon }C_\mu ^{ - 1/2}C_{\rm{f}}^{ - 3/4}\frac{{U_*^4}}{h} \quad$$ (11) 式(7)~(11)中:
$ {C_{1\varepsilon }} = 1.44 $ ,$ {C_{2\varepsilon }} = 1.92 $ ,$ {\sigma _k} = 1.0 $ ,$ {\sigma _\varepsilon } = 1.3 $ ,$ {C_{\varepsilon \beta }} = 3.6 $ ,$ {C_\varepsilon } = 1.3 $ ,均为经验常数[21-22];${U_*} = \sqrt {{\tau _{\rm{b}}}/\rho }$ 为摩擦流速。数值计算利用浅水模型,采用贴体网格对计算区进行划分,并对控制方程进行相应的转换[23];采用有限差分法对控制方程进行离散求解;采用3阶显性CIP算法进行插值,精度高,稳定性好[24-25]。模型验证利用河段室内试验对沿程水位进行比较,水槽试验在四川大学水力学与山区河流开发保护国家重点实验室进行,具体可参考文献[2]。平面几何形态及网格划分如图1(a)所示。水槽坡度S=0.002,最宽段宽度B = 1.4 m,最窄段宽度b = 0.6 m,宽窄段间距为3 m,并采用正弦曲线衔接。入口边界条件采用流量边界Q=0.1 m3/s,出口边界条件采用水位边界Hd= 0.148 m,水槽壁面为光滑水泥面,曼宁系数设为0.02,模型验证结果如图1(b)所示。数值计算的水位沿程变化与试验值较为一致,误差率±2.5%,表明该2维浅水模型及网格系统对于宽窄相间河道水流运动模拟具有良好的效果。此外,经过网格收敛性分析,计算结果已经收敛。
2. 宽窄相间河段水流运动数值模拟结果分析
利用验证后的模型研究窄宽比和下游出口水位对宽窄相间河道水流特性和输水能力的影响,设计不同数值试验工况进行敏感性分析。以验证工况为基准,保持流量和最宽段宽度不变,即Q=0.1 m3/s,B=1.4 m。通过改变窄段最小宽度b和下游出口水位Hd,研究窄宽比(b/B)变化与下游水位(Hd/B)效应对宽窄相间河道水流特性的影响。设计7个窄宽比和8个不同水位,共56组试验工况。
2.1 宽窄相间河段平均水位沿程变化
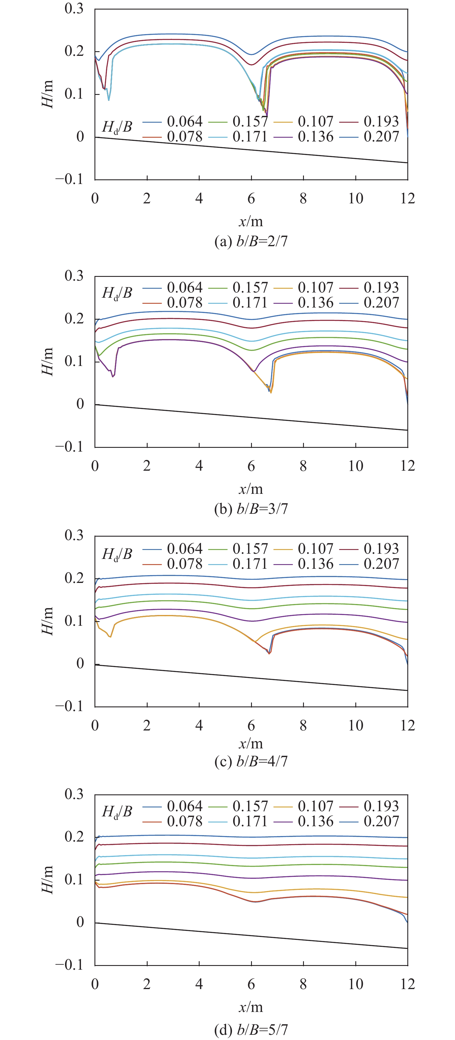
图2为窄宽比变化条件下断面平均水位沿程H的分布与出口水位的关系。
河段呈现出典型的窄段跌水、宽段壅水;且当下游水位效应低时,展宽段出现淹没式水跃;跌水–壅水–水跃效应随着河道窄宽比增大而减小。当b/B=5/7时,水跃在给定淹没条件下消失。当出现水跃时,水位沿程变化受下游出口水位变化影响较小,特别是上游第1个河段(窄—宽—窄)水面线基本重合,表明当水跃出现时,沿程水位分布主要受边界平面形态影响,水跃位置出现在最窄段下游;而未产生水跃的跌水最低点则刚好出现在最窄断面。相较而言,窄宽比越小,宽段的水位越高,表明壅水效应越严重,洪水淹没风险严重。随着出口水位持续增大,上下游宽段水位在不同窄宽比条件下的差异变小,表明大水深情况下边界平面形态对其影响较小,下游水位效应显著。而窄宽比越大(越接近于b/B=1),宽段水位随下游出口水位变化幅度越大。
2.2 宽窄相间河段平均流速沿程变化
由于计算过程保持流量不变,因此,断面平均流速主要由水位决定,水位越大,流速越小。图3为不同工况下的断面平均流速Um沿程分布。可知:断面平均流速沿程分布基本与水位分布规律相反。全局高流速始终出现在窄断面附近,即:如果产生水跃,最高流速则出现在最窄段下游,对应水跃位置;如果未产生水跃,最高流速则出现在最窄断面。窄宽比越小,宽、窄段流速差异越大(特别是宽段),且对下游出口水位变化不敏感,表明平面边界形态效应突出;窄宽比越大,下游水位效应的主导作用越显著。河宽缩窄整体上表现为输水能力明显降低,即宽段断面流速在下游低水位时大幅降低,则相同流量对应的水位更高,而这一输水降低效应随着下游水位的增大而差异变小。此外,窄段河宽越小,最高流速越大,特别是产生水跃现象之后,这表明窄段河床冲刷越大;此时宽段流速较低,窄段冲刷出的泥沙较易淤积在宽段,形成深潭–浅滩结构。在大水深条件下,窄段流速明显降低,上游泥沙可能会重新淤积于窄段。
2.3 宽窄相间河段水流流态沿程变化
宽窄相间河道的跌水–壅水–水跃效应是该平面边界形态河道的主要特征。通常地,水跃的出现表明流态从急流(弗劳德数Fr>1)向缓流(Fr<1)转变,因此,可利用Fr解释宽窄相间河道窄段下游水跃现象。图4为不同工况下的Fr沿程分布规律。可知:Fr分布规律与断面流速沿程分布规律相似,即窄段Fr较大,宽段较小;低窄宽比情况下,宽段Fr对于下游出口水位变化不敏感,而高窄宽比下Fr随下游水位变化较大;最高Fr出现在最窄断面或下游。计算结果还表明:当Fr>1,即急流时,水跃现象出现;对于Fr<1或接近于1工况,水跃不会出现,严格对应水跃形成的临界条件,即上游急流向下游缓流转变。一般情况下,因急流向缓流转变形成的水跃会出现于陡变缓的河道及因水工建筑物(闸门、溢流坝等)约束的流态下,而宽窄相间河道基于平面边界形态的变化及下游出口水位效应的影响产生了急流向缓流转变而出现水跃的流态。
3. 宽窄相间河道水流运动特性讨论
综上可知,宽窄相间河道水流特性(水位、流速、弗劳德数等)受平面边界形态和下游出口水位共同影响,出现窄段跌水、宽段壅水的水力现象,当展宽段从急流(Fr>1)向缓流(Fr<1)转变时,出现淹没式水跃现象。对于低窄宽比河道(即窄段河宽变小),水跃较易出现,表明宽段易出现壅水。因此,当河道由于滑坡等因素导致河道局部束窄,即使下游水位较低,亦会出现宽段壅水现象,导致洪水淹没风险。而对于高窄宽比河道(即窄段河宽变大),宽段水位主要受下游出口水位影响,具有较为一致的同步性。
宽窄相间河道存在宽段高水位、窄段低水位等特征水位,其水位分布特征受窄宽比和下游水位共同影响。通过分析其相关性,有助于理解宽窄相间河段上下游水位沿程分布规律。利用下游宽段水位(H3)对上游宽、窄段特征水位(H1、H2)进行无量纲化,可以得到上游宽、窄段特征水位与下游宽段特征水位比(H1/H3、H2/H3)。图5(a)为在高窄宽比条件下,上下游宽段特征水位比(H1/H3)随下游出口水位的变化曲线,可知:H1/H3随下游出口水位(Hd/B)的增大而降低,表明上下游河道因水位上涨形成了壅水效应;在低窄宽比条件下,H1/H3整体上接近于1,表明在出口低水位条件下,因河宽缩窄出现壅水效应,但随下游出口水位的变化幅度不大。此外,低窄宽比条件下,H1/H3随下游出口水位的增大呈现先增大后减小的趋势,表明低窄宽比宽窄相间河道可能存在最优输水效率。图5(b)为在低窄宽比条件下,上游窄段与下游宽段特征水位比(H2/H3)随下游出口水位的变化,可知:H2/H3先随着下游出口水位的增大而几乎保持不变甚至减小;超过一定水位之后,H2/H3随出口水位的继续增大而显著增大。前者表现为水跃出现的水力条件,后者则对应水跃消失的水力条件。
河道的输水能力主要由河道阻力直接反映,当河道阻力较大时,河道输水能力较低,而河道阻力可以由单位水头损失表征。对于顺直河道,水头损失即能量损失主要由床面阻力、紊动交换和断面二次流造成[17,19]。但因河道平面边界不变,河道沿程的水深变化较小,甚至形成均匀流,因此,顺直河道的水头损失与宽窄相间河道水头损失研究机制不同。将缩窄–展宽段作为一个整体(图1(a)中的x=3~9 m),进行平均水头损失分析,有助于从本质上厘清宽窄相间河道的输水机理。单位水头损失计算方法如下。选择在缩窄段中首先计算宽段和窄段的总水头Ht,其计算公式为:
$$ \left\{ \begin{gathered} {H_{{\rm{tw}}1}} = {H_{{\rm{w}}1}} + U_{{\rm{w}}1}^2/2g, \\ {H_{{\rm{tn}}1}} = {H_{{\rm{n}}1}} + U_{{\rm{n}}1}^2/2g, \\ {H_{{\rm{tn}}2}} = {H_{{\rm{tn}}1}}, \\ {H_{{\rm{tw}}2}} = {H_{{\rm{w}}2}} + U_{{\rm{w}}2}^2/2g \\ \end{gathered} \right. $$ (12) 式中,Htw1、Htn1(Htn2)、Htw2依次为x =3、6、9 m控制断面总水头,Hw1、Hn1、Hw2依次为x =3、6、9 m控制断面水位,Uw1、Un1、Uw2依次为x =3、6、9 m控制断面平均流速,g为重力加速度。缩窄段与展宽段的平均水头损失为:
$$ \left\{ \begin{gathered} {S_{{\rm{con}}}} = \frac{{{H_{{\rm{tn}}1}} - {H_{{\rm{tw}}1}}}}{{{L_1}}}, \\ {S_{{\rm{div}}}} = \frac{{{H_{{\rm{tw}}2}} - {H_{{\rm{tn}}2}}}}{{{L_2}}} \\ \end{gathered} \right.\quad $$ (13) 式中,Scon、Sdiv依次为缩窄段、展宽段平均水头损失,L1、L2依次为缩窄段、展宽段长度。
图6为不同工况下的缩窄段与展宽段平均水头损失变化规律。总体上看,展宽段的平均水头损失明显大于缩窄段,宽窄相间河道的水头损失主要发生于展宽段,并与窄宽比及下游出口水位直接相关。由图6(a)可知:在窄宽比变化条件下,水头损失呈现出相似变化趋势,即随下游出口水位增大先保持不变,然后逐渐减小;整体上,河道窄宽比越小,水头损失越小,并最终由于下游出口水位的持续增大(Hd/B>0.14)使水头损失收敛至同一个范围。该变化趋势表明,缩窄段由势能转变为动能,窄宽比越低,能量转换效率越高,水头损失较小。由图6(b)可知:下游出口水位相同时,窄宽比越小,水头损失越高,这一趋势与缩窄段相反。这是因为当动能转换为势能时,较小窄宽比可能会引起水跃这一高耗能水力现象。因此,可以发现:当下游水位(Hd/B)增大、较小窄宽比时,展宽段的水跃效应会不断弱化甚至消失,相应水头损失会不断降低并趋近于一致;进一步比较发现,对于低窄宽比河道,展宽段的水头损失远大于收缩段,其比值最高约为6(图6(c)),展宽段水头损失占整个河段的近85%(图6(d))。随着水位的持续上升,展宽段水头损失会大幅降低,对应水跃现象的消失,此时展宽段水头损失占全河段水头损失比例大幅降低。相对而言,展宽段水头损失维持在60%左右,始终高于缩窄段,但两者差异在高水位条件下不断缩小。
4. 结 论
宽窄相间属于天然河道平面形态的一种,其水流特性主要受河宽变化和下游水位影响,而当前研究尚未对其输水特性进行系统探讨。本文利用2维数值模型对不同条件下的宽窄相间型河道水流运动进行了模拟,分析了不同窄宽比和下游水位效应对河道输水特性的影响。研究发现:宽窄相间河道整体表现为宽段壅水低流速和窄段跌水高流速的水流特性;对于低窄宽比河道容易出现扩段的淹没式水跃,而下游出口水位上涨会抑制水跃的形成。河道窄宽比越小,宽段的壅水效应越显著,从而也提高了洪水淹没的风险。通过分析收缩段–展宽段的水头损失,发现展宽段的水头损失始终大于收缩段,且其占全河段总水头损失的比例随着水跃的出现大幅提高,严重影响了河道的输水输沙能力,并对宽窄相间河段床面进行塑造。本文从机理上分析了宽窄相间河道的输水机制和洪水演进及分布规律,可为山区河流水沙灾害防治提供科学依据。
-
-
[1] Knight D.Hydraulic problems in flooding:From data to theory and from theory to practice[M]//Experimental and Computational Solutions of Hydraulic Problems.Heidelberg:Springer,2013:19-52. [2] 闫旭峰,易子靖,刘同宦,等.渐变河道水流结构及局部水头损失特性研究[J].长江科学院院报,2011,28(9):1–5. doi: 10.3969/j.issn.1001-5485.2011.09.001 Yan Xufeng,Yi Zijing,Liu Tonghuan,et al.Flow structure and characteristics of local head loss in transition channel[J].Journal of Yangtze River Scientific Research Institute,2011,28(9):1–5 doi: 10.3969/j.issn.1001-5485.2011.09.001 [3] 谢和平,许唯临,刘超,等.山区河流水灾害问题及应对[J].工程科学与技术,2018,50(3):1–14. doi: 10.15961/j.jsuese.201800345 Xie Heping,Xu Weilin,Liu Chao,et al.Water disasters and their countermeasures in mountains[J].Advanced Engineering Sciences,2018,50(3):1–14 doi: 10.15961/j.jsuese.201800345 [4] 王协康,刘兴年,周家文.泥沙补给突变下的山洪灾害研究构想和成果展望[J].工程科学与技术,2019,51(4):1–10. Wang Xiekang,Liu Xingnian,Zhou Jiawen.Research framework and anticipated results of flash flood disasters under the mutation of sediment supply[J].Advanced Engineering Sciences,2019,51(4):1–10 [5] 刘超,聂锐华,刘兴年,等.山区暴雨山洪水沙灾害预报预警关键技术研究构想与成果展望[J].工程科学与技术,2020,52(6):1–8. doi: 10.15961/j.jsuese.202000859 Liu Chao,Nie Ruihua,Liu Xingnian,et al.Research conception and achievement prospect of key technologies for forecast and early warning of flash flood and sediment disasters in mountainous rainstorm[J].Advanced Engineering Sciences,2020,52(6):1–8 doi: 10.15961/j.jsuese.202000859 [6] Valiani A,Caleffi V.Linear and angular momentum conservation in hydraulic jump in diverging channels[J].Advances in Water Resources,2011,34(2):227–242. doi: 10.1016/j.advwatres.2010.11.006 [7] Gandhi S.Characteristics of hydraulic jump[J].International Journal of Physical and Mathematical Sciences,2014,8(4):692–697. [8] 王淑英,周苏芬,赵小娥,等.山区宽窄相间河道渐扩渐缩局部区域水流运动特性试验研究[J].四川大学学报(工程科学版),2013,45(增刊2):51–54. Wang Shuying,Zhou Sufen,Zhao Xiaoe,et al.Experimental study on the flow characteristics at local diverging-converging sections in mountain lotus root shape channel[J].Journal of Sichuan University(Engineering Science Edition),2013,45(Supp2):51–54 [9] Wang Xiekang,Yi Zijing,Yan Xufeng,et al.Experimental study of the flow structure of decelerating and accelerating flows under a gradually varying flume[J].Journal of Hydrodynamics(Ser B),2015,27(3):340–349. doi: 10.1016/S1001-6058(15)60491-7 [10] 王文娥,廖伟,漆力健.宽窄相间河道水流紊动特性试验研究[J].水科学进展,2020,31(3):394–403. doi: 10.14042/j.cnki.32.1309.2020.03.009 Wang Wene,Liao Wei,Qi Lijian.Experiment of turbulent characteristics of flow in wide-and-narrow channels[J].Advances in Water Science,2020,31(3):394–403 doi: 10.14042/j.cnki.32.1309.2020.03.009 [11] 高永胜,王淑英,周苏芬,等.河宽渐变水流运动对河床冲淤特性影响的数值分析[J].四川大学学报(工程科学版),2014,46(2):14–19. Gao Yongsheng,Wang Shuying,Zhou Sufen,et al.Numerical study on the effects of flow motion on channel evolution in gradual width river[J].Journal of Sichuan University(Engineering Science Edition),2014,46(2):14–19 [12] 闫旭峰,许泽星,孙桐,等.山区河流宽窄相间河段山洪水沙输移2维数值试验[J].工程科学与技术,2021,53(6):148–154. doi: 10.15961/j.jsuese.202100134 Yan Xufeng,Xu Zexing,Sun Tong,et al.Numerical experiment of flash flood related to sediment transport at local diverging-converging sections in mountainous rivers[J].Advanced Engineering Sciences,2021,53(6):148–154 doi: 10.15961/j.jsuese.202100134 [13] Wu Fuchun,Shao Yunchuan,Chen Yuchen.Quantifying the forcing effect of channel width variations on free bars:Morphodynamic modeling based on characteristic dissipative Galerkin scheme[J].Journal of Geophysical Research(Earth Surface),2011,116(F3):F03023. doi: 10.1029/2010JF001941 [14] Duró G,Crosato A,Tassi P.Numerical study on river bar response to spatial variations of channel width[J].Advances in Water Resources,2016,93:21–38. doi: 10.1016/j.advwatres.2015.10.003 [15] Nelson P A,Brew A K,Morgan J A.Morphodynamic response of a variable-width channel to changes in sediment supply[J].Water Resources Research,2015,51(7):5717–5734. doi: 10.1002/2014WR016806 [16] Das B S,Devi K,Khatua K K.Prediction of discharge in converging and diverging compound channel by gene expression programming[J].ISH Journal of Hydraulic Engineering,2021,27(4):385–395. doi: 10.1080/09715010.2018.1558116 [17] Proust S,Rivière N,Bousmar D,et al.Flow in compound channel with abrupt floodplain contraction[J].Journal of Hydraulic Engineering,2006,132(9):958–970. doi: 10.1061/(asce)0733-9429(2006)132:9(958 [18] Dupuis V,Proust S,Berni C,et al.Compound channel flow with a longitudinal transition in hydraulic roughness over the floodplains[J].Environmental Fluid Mechanics,2017,17(5):903–928. doi: 10.1007/s10652-017-9525-0 [19] Proust S,Bousmar D,Rivière N,et al.Energy losses in compound open channels[J].Advances in Water Resources,2010,33(1):1–16. doi: 10.1016/j.advwatres.2009.10.003 [20] Finaud–Guyot P,Delenne C,Guinot V,et al.1D–2D coupling for river flow modeling[J].Comptes Rendus Mécanique,2011,339(4):226–234. doi: 10.1016/j.crme.2011.02.001 [21] Kim H S,Kimura I,Park M.Numerical simulation of flow and suspended sediment deposition within and around a circular patch of vegetation on a rigid bed[J].Water Resources Research,2018,54(10):7231–7251. doi: 10.1029/2017WR021087 [22] Wu Weiming,Shields Jr F D,Bennett S J,et al.A depth-averaged two-dimensional model for flow,sediment transport,and bed topography in curved channels with riparian vegetation[J].Water Resources Research,2005,41(3):W03015. doi: 10.1029/2004WR003730 [23] Shimizu Y,Takebayashi H.Nays2DH solver manual[M]//International River Interface.Hokkaido: University and Kyoto University,2014. [24] Jang C L,Shimizu Y.Vegetation effects on the morphological behavior of alluvial channels[J].Journal of Hydraulic Research,2007,45(6):763–772. doi: 10.1080/00221686.2007.9521814 [25] Jang C L,Shimizu Y.Numerical simulation of relatively wide,shallow channels with erodible banks[J].Journal of Hydraulic Engineering,2005,131(7):565–575. doi: 10.1061/(asce)0733-9429(2005)131:7(565











下载:

